中空旋轉平臺減速機變位齒輪幾何尺寸的變化
文章出處:合富源 人氣:發表時間:2019-07-15 15:11
1. 中空旋轉平臺減速機的分度圓齒厚和齒槽寬
圖所示分度圓齒厚和齒槽寬及標準齒條刀切制正變位齒輪的情況。齒條刀中線遠離輪坯中心的徑向變位量是 xm>0,刀具節線上的齒厚較刀距中線上的齒厚減小 2KJ。由于輪坯分度圓與刀具節線作純滾動,被切出齒輪分度圓齒槽寬應等于刀具節線上的齒厚,即被切齒輪分度圓齒槽寬也減小 2KJ。由圖中關系可知,KJ=xmtgα。故正變位齒輪分度圓齒槽寬為:


對于負變位齒輪,上述兩式同樣適用,僅將變位系數 x 用負值代入。
2.中空旋轉平臺減速機的任意圓上的齒厚
圖為外齒輪的一個輪齒,設 si為輪齒任意半徑 ri的圓周上的弧齒厚,s 為其分度圓上的弧齒厚,并設 si和 s 分別對應的中心角為φi和φ,由圖知


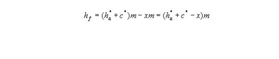
3.中空軸旋轉平臺減速機的齒根高和齒頂圓
如圖所示,加工正變位齒輪,刀具中線與節線分離,移出 xm。因此齒根高比標準齒輪減小,即


對于負變位齒輪,用負值代入上述兩式。
4.中空旋轉平臺減速機的齒頂高和齒頂圓
變位齒輪的齒頂圓在切齒加工前已加工好,與輪齒切削加工無關。變位齒輪的齒頂高及齒頂圓均與標準齒輪不同,其變化的情況與一對齒輪嚙合傳動要求有關,將在下節介紹。
推薦產品
同類文章排行
- 合富源為您解析一級、二級、三級行星減速機內部結構圖
- 中空旋轉平臺工作原理
- 行星減速機內部結構圖與傳動原理
- 平行軸行星減速機的概述、特點及應用領域
- 選擇精密伺服行星減速機時應注意哪些問題?
- 伺服行星減速機廠家在國內是否有發展前景?
- 電動缸廠家解析電動缸是如何確定原點位置的
- 什么是一級行星減速機和二級行星減速機?
- 影響精密行星減速機價格的四大因素
- 艾伺頓爾精密行星減速機產品介紹
最新資訊文章
- 直角行星減速機怎樣準確安裝呢?
- 斜齒行星減速機在鍛壓機上的應用
- 伺服精密行星減速機的作用
- 伺服精密行星減速機的傳動效率影
- 精密行星齒輪減速機出現斷軸的原因
- 伺服精密行星減速機失效的原因
- 斜齒行星減速機的價格影響
- 伺服精密行星減速機的周轉你知道嗎?
- 伺服精密行星減速機耐用嗎?
- 伺服精密行星減速機生銹如何防止?
- 斜齒行星減速機使用壽命的五大方法
- 斜齒行星減速機有哪些優勢呢?
- 關于精密行星齒輪減速機維護
- 直角行星減速機有效降低轉速提升扭矩
- 造成小型行星減速機誤差的原因
- 伺服精密行星減速機提高水平有哪些因素
- 直角行星減速機如何進行檢查和維修
- 關于小型行星減速機失效的原因
- 精密行星減速機工作原理溫升測試
- 小型行星減速機換油的技巧




