中空旋轉平臺減速機漸開線標準直齒圓柱齒輪機構
文章出處:合富源 人氣:發表時間:2019-07-12 14:41

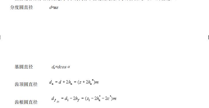
(1) 齒頂圓 過齒輪各齒頂所作的圓,其直徑和半徑分別用 da和 ra表示。
(2) 齒根圓 過齒輪各齒槽底部的圓,其直徑和半徑分別用 df和 rf表示。
(3) 分度圓 齒頂圓和齒根圓之間的圓,是計算齒輪幾何尺寸的基準圓其直徑和半徑分別用d和r 表示。
(4) 基圓 形成漸開線的圓,其直徑和半徑分別用 db和 rb表示。
(5) 齒頂高、齒根高及齒全高 齒頂高為分度圓與齒頂圓之間的徑向距離,用 ha表示;齒根高為分度圓與齒根圓之間的徑向距離,用 hf表示;齒全高為齒頂圓與齒根圓之間的徑向距離,用 h 表示,顯然 h=ha+hf。
(6) 齒厚、齒槽寬及齒距 在半徑為 rk的圓周上,一個輪齒兩側齒廓之間的弧長稱為該圓上的齒厚,用 sk表示;在此圓周上,一個齒槽兩側齒廓之間的弧長稱為該圓上的齒槽寬,用 ek 表示;此圓周上相鄰兩齒同側齒廓之間的弧長稱為該圓上的齒距,用 pk表示,顯然 pk=sk+ek。分度圓上的齒厚、齒槽寬及齒距依次用 s、e 及 p 表示,p=s+e。基圓上的齒距又稱為基節,用 pb 表示。
中空旋轉平臺減速機標準齒輪:基本參數取標準值,具有標準的齒頂高和齒根高,分度圓齒厚等于齒槽寬的直齒圓柱齒輪稱為標準齒輪,不能同時具備上述特征的直齒輪都是非標準齒輪。
標準齒輪及其幾何尺寸計算公式 由齒輪各部分名稱的定義可以得到標準齒輪的幾何尺寸計算公式,如(外齒輪):

推薦產品
同類文章排行
- 合富源為您解析一級、二級、三級行星減速機內部結構圖
- 中空旋轉平臺工作原理
- 行星減速機內部結構圖與傳動原理
- 平行軸行星減速機的概述、特點及應用領域
- 選擇精密伺服行星減速機時應注意哪些問題?
- 伺服行星減速機廠家在國內是否有發展前景?
- 電動缸廠家解析電動缸是如何確定原點位置的
- 什么是一級行星減速機和二級行星減速機?
- 影響精密行星減速機價格的四大因素
- 艾伺頓爾精密行星減速機產品介紹
最新資訊文章
- 直角行星減速機怎樣準確安裝呢?
- 斜齒行星減速機在鍛壓機上的應用
- 伺服精密行星減速機的作用
- 伺服精密行星減速機的傳動效率影
- 精密行星齒輪減速機出現斷軸的原因
- 伺服精密行星減速機失效的原因
- 斜齒行星減速機的價格影響
- 伺服精密行星減速機的周轉你知道嗎?
- 伺服精密行星減速機耐用嗎?
- 伺服精密行星減速機生銹如何防止?
- 斜齒行星減速機使用壽命的五大方法
- 斜齒行星減速機有哪些優勢呢?
- 關于精密行星齒輪減速機維護
- 直角行星減速機有效降低轉速提升扭矩
- 造成小型行星減速機誤差的原因
- 伺服精密行星減速機提高水平有哪些因素
- 直角行星減速機如何進行檢查和維修
- 關于小型行星減速機失效的原因
- 精密行星減速機工作原理溫升測試
- 小型行星減速機換油的技巧




