中空旋轉平臺和行星減速機的齒輪制造技術要求
文章出處:合富源 人氣:發表時間:2019-07-10 11:13
1、中空旋轉平臺減速機和行星減速機的齒輪檢驗項目見表3。
表3
| 齒輪精加工工藝 | 第1公差組 | 第2公差組 | 第3公差組 | 齒輪副 |
| 磨齒 | Fp或Fi與Fw或Fr與Fw |
ff與fpt與fpb ff與fpt |
Fβ | 接觸斑點與jn min |
| 滾齒 | - |
2、在不要求互換性時,允許下列要素按相對精度測定:
a)螺旋角:其公稱值為實際螺旋角的平均值;
b)基節:其公稱值為實際基節的平均值;
c)齒厚:齒輪副中相配的另一個齒輪的齒厚應根據第一個齒輪的實際齒厚計算。
3、中空旋轉平臺減速機和行星減速機齒面表面粗糙度應符合表4的規定。
表4 齒面表面粗糙度Ra
|
第2公差組 精度等級 |
分度圓直徑mm | 法向模數 | |||
| ≥1~4 | >4~8 | >8~16 | >16~25 | ||
| 5 | ≤125 | 0.8 | 0.8 | 1.6 | - |
| >125~400 | 0.8 | 1.6 | 1.6 | 1.6 | |
| >400~800 | 1.6 | 1.6 | 1.6 | 1.6 | |
| >800~1600 | 1.6 | 1.6 | 1.6 | 1.6 | |
| >1600~2500 | - | 1.6 | 1.6 | 1.6 | |
| 6 | ≤125 | 0.8 | 1.6 | 1.6 | - |
| >125~400 | 1.6 | 1.6 | 1.6 | 1.6 | |
| >400~800 | 1.6 | 1.6 | 1.6 | 1.6 | |
| >800~1600 | 1.6 | 1.6 | 1.6 | 3.2 | |
| >1600~2500 | 1.6 | 1.6 | 1.6 | 3.2 | |
| 7 | ≤125 | 1.6(0.8) | 3.2(1.6) | 3.2(1.6) | - |
| >125~400 | 3.2(1.6) | 3.2(1.6) | 3.2(1.6) | 3.2(1.6) | |
| >400~800 | 3.2(1.6) | 3.2(1.6) | 3.2(1.6) | 6.3(3.2) | |
| >800~1600 | 3.2(1.6) | 3.2(1.6) | 6.3(3.2) | 6.3(3.2) | |
| >1600~2500 | 3.2(1.6) | 6.3(3.2) | 6.3(3.2) | 6.3(3.2) | |
| 8 | ≤125 | 3.2(1.6) | 3.2(1.6) | 3.2(1.6) | - |
| >125~400 | 3.2(1.6) | 3.2(1.6) | 3.2(1.6) | 6.3(3.2) | |
| >400~800 | 3.2(1.6) | 3.2(1.6) | 6.3(3.2) | 6.3(3.2) | |
| >800~1600 | 6.3(3.2) | 6.3(3.2) | 6.3(3.2) | 6.3(3.2) | |
| >1600~2500 | 6.3(3.2) | 6.3(3.2) | 6.3(3.2) | 6.3(3.2) | |
| 9 | ≤125 | 3.2 | 6.2 | 6.3 | - |
| >125~400 | 6.3 | 6.3 | 6.3 | 6.3 | |
| >400~800 | 6.3 | 6.3 | 6.3 | 12.5 | |
| >800~1600 | 6.3 | 6.3 | 12.5 | 12.5 | |
| >1600~2500 | 6.3 | 12.5 | 12.5 | 12.5 | |
注
1 括號內數值適用于硬齒面齒輪。
2 氮化齒輪齒面表面粗糙度Ra為1.6μm。
4、中空旋轉平臺減速機和行星減速機的磨齒齒輪應作齒頂修緣
伺服減速機的滾齒齒輪精滾時一般應采用修緣滾刀。

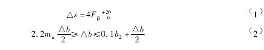
5、磨齒齒輪副小齒輪作齒向修形。
齒向修形尺寸見圖1和式(1)、式(2):

式中:△S——齒向修形量,μm;
Fβ——齒向誤差允許值,弘m;
b1——小齒輪齒寬,mm;
b2——大齒輪齒寬,mm;
Δb——大小齒輪寬差,mm;
Δb1——小齒輪的齒向修形長度,mm。
下一篇:中空旋轉平臺減速機機體制造和裝配技術要求 上一篇:中空軸旋轉平臺減速機的總技術要求
推薦產品
同類文章排行
- 合富源為您解析一級、二級、三級行星減速機內部結構圖
- 中空旋轉平臺工作原理
- 行星減速機內部結構圖與傳動原理
- 平行軸行星減速機的概述、特點及應用領域
- 選擇精密伺服行星減速機時應注意哪些問題?
- 伺服行星減速機廠家在國內是否有發展前景?
- 電動缸廠家解析電動缸是如何確定原點位置的
- 什么是一級行星減速機和二級行星減速機?
- 影響精密行星減速機價格的四大因素
- 艾伺頓爾精密行星減速機產品介紹
最新資訊文章
- 直角行星減速機怎樣準確安裝呢?
- 斜齒行星減速機在鍛壓機上的應用
- 伺服精密行星減速機的作用
- 伺服精密行星減速機的傳動效率影
- 精密行星齒輪減速機出現斷軸的原因
- 伺服精密行星減速機失效的原因
- 斜齒行星減速機的價格影響
- 伺服精密行星減速機的周轉你知道嗎?
- 伺服精密行星減速機耐用嗎?
- 伺服精密行星減速機生銹如何防止?
- 斜齒行星減速機使用壽命的五大方法
- 斜齒行星減速機有哪些優勢呢?
- 關于精密行星齒輪減速機維護
- 直角行星減速機有效降低轉速提升扭矩
- 造成小型行星減速機誤差的原因
- 伺服精密行星減速機提高水平有哪些因素
- 直角行星減速機如何進行檢查和維修
- 關于小型行星減速機失效的原因
- 精密行星減速機工作原理溫升測試
- 小型行星減速機換油的技巧




