行星減速機速比與精度的概念
深圳合市富源機電設備有限公司減機速中,富源機電行星減速機由于體積小,傳動效率高,減速范圍寬,精度高,廣泛應用于伺服,步進,直流等傳動系統。

行星減速機
?行星減速機在保證精密傳動的前提下,主要被用來:
1.降低速度
2.增加扭矩
3.降低負載的負載/電機慣量比。
速比與精度的概念:
※速比i :
輸出速度與輸入速度的比率,減速比=輸入速度÷輸出速度。
例如:減速器輸入端的N1=3000RPM,輸入扭矩T1=20Nm,減速比10(或i=10)
輸出扭矩n2=輸入速度n1/i=3000RPM
轉出扭矩T2=輸出扭矩T1·i=200Nm(當不考慮效率時)
輸出慣量J2=輸入慣量J1·i2

精度的概念:
※回程間隙j1 [ arcmin ]
指輸出軸和減速器輸入端之間的最大偏差角。測量時,首先固定齒輪輸入端,然后在輸出軸上加載額定扭矩的2%扭矩。此時,減速器的輸出端有輕微的位移。為了退貨清關。單位是“弧”。這是學位的六分之一。

※弧分[ Arcmin ]:
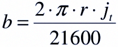
圓形有360度,1度可分為60弧分,即圓形有21600弧分。例如,當返回間隙標記為1弧分時,意味著減速器旋轉一圈,輸出端的角度偏差為1/60°。
在實際應用中,該角度偏差與軸直徑和轉盤的尺寸有關。
例如,當輸出轉盤半徑為500mm時,當齒輪箱精度為j1=3'時,減速器一圈的偏差為b=0.44mm。

推薦產品
同類文章排行
- 合富源為您解析一級、二級、三級行星減速機內部結構圖
- 中空旋轉平臺工作原理
- 行星減速機內部結構圖與傳動原理
- 平行軸行星減速機的概述、特點及應用領域
- 選擇精密伺服行星減速機時應注意哪些問題?
- 伺服行星減速機廠家在國內是否有發展前景?
- 電動缸廠家解析電動缸是如何確定原點位置的
- 什么是一級行星減速機和二級行星減速機?
- 影響精密行星減速機價格的四大因素
- 艾伺頓爾精密行星減速機產品介紹
最新資訊文章
- 直角行星減速機怎樣準確安裝呢?
- 斜齒行星減速機在鍛壓機上的應用
- 伺服精密行星減速機的作用
- 伺服精密行星減速機的傳動效率影
- 精密行星齒輪減速機出現斷軸的原因
- 伺服精密行星減速機失效的原因
- 斜齒行星減速機的價格影響
- 伺服精密行星減速機的周轉你知道嗎?
- 伺服精密行星減速機耐用嗎?
- 伺服精密行星減速機生銹如何防止?
- 斜齒行星減速機使用壽命的五大方法
- 斜齒行星減速機有哪些優勢呢?
- 關于精密行星齒輪減速機維護
- 直角行星減速機有效降低轉速提升扭矩
- 造成小型行星減速機誤差的原因
- 伺服精密行星減速機提高水平有哪些因素
- 直角行星減速機如何進行檢查和維修
- 關于小型行星減速機失效的原因
- 精密行星減速機工作原理溫升測試
- 小型行星減速機換油的技巧




