中空旋轉平臺減速機齒根疲勞彎曲強度計算公式
文章出處:合富源 人氣:發表時間:2019-07-23 14:19
深圳中空旋轉平臺減速機廠家為您介紹中空旋轉平臺減速機齒根疲勞彎曲強度計算公式……
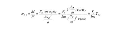
設力臂為 hF,危險截面寬度為 SF,齒根危險截面的名義彎曲應力為


中空旋轉平臺減速機的齒根彎曲疲勞強度校核公式
計入載荷系數 K、重合度系數 Ye、應力修正系數 Ysa,則得齒根彎曲疲勞強度的校核公式為

式中 YFa-為載荷作用于齒頂的齒形系數,用以考慮中空旋轉平臺減速機的齒廓形狀對齒根彎曲應力 sF的影響。YFa 是無因次量,凡影響齒廓形狀的參數(如 Z、x、α等)都影響 YFa(下上圖),而與模數無關。 YFa值可由下下圖查取。


推薦產品
同類文章排行
- 合富源為您解析一級、二級、三級行星減速機內部結構圖
- 中空旋轉平臺工作原理
- 行星減速機內部結構圖與傳動原理
- 平行軸行星減速機的概述、特點及應用領域
- 選擇精密伺服行星減速機時應注意哪些問題?
- 伺服行星減速機廠家在國內是否有發展前景?
- 電動缸廠家解析電動缸是如何確定原點位置的
- 什么是一級行星減速機和二級行星減速機?
- 影響精密行星減速機價格的四大因素
- 艾伺頓爾精密行星減速機產品介紹
最新資訊文章
- 直角行星減速機怎樣準確安裝呢?
- 斜齒行星減速機在鍛壓機上的應用
- 伺服精密行星減速機的作用
- 伺服精密行星減速機的傳動效率影
- 精密行星齒輪減速機出現斷軸的原因
- 伺服精密行星減速機失效的原因
- 斜齒行星減速機的價格影響
- 伺服精密行星減速機的周轉你知道嗎?
- 伺服精密行星減速機耐用嗎?
- 伺服精密行星減速機生銹如何防止?
- 斜齒行星減速機使用壽命的五大方法
- 斜齒行星減速機有哪些優勢呢?
- 關于精密行星齒輪減速機維護
- 直角行星減速機有效降低轉速提升扭矩
- 造成小型行星減速機誤差的原因
- 伺服精密行星減速機提高水平有哪些因素
- 直角行星減速機如何進行檢查和維修
- 關于小型行星減速機失效的原因
- 精密行星減速機工作原理溫升測試
- 小型行星減速機換油的技巧




